[Leetcode] 230. Kth Smallest Element in a BST
Algorithm2021. 9. 15. 15:38
반응형
Identifying the Problem
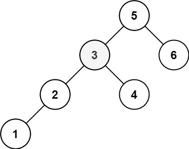
BST 구조 트리의 k번째로 작은 값을 구한다.

Input: root = [5,3,6,2,4,null,null,1], k = 3 Output: 3
Organizing thoughts
Idea[1] : 중위순회를 하며, int vector에 node값 저장 후 , 정렬 , 앞에서 k-1 번째 수 리턴한다.
Idea[2] : 중위순회를 하며, k값을 빼가며 k가 1에 도달했을 때의 값을 리턴한다.
Sourcecode
##Idea[1]
class Solution {
public:
vector<int> node;
int kthSmallest(TreeNode* root, int& k)
{
inorder(root);
sort(node.begin(), node.end());
return node[k-1];
}
void inorder(TreeNode* root)
{
if(root)
{
inorder(root->left);
node.push_back(root->val);
inorder(root->right);
}
}
};
##Idea[2] 정답코드 및 출처
4 Lines in C++. - LeetCode Discuss
Level up your coding skills and quickly land a job. This is the best place to expand your knowledge and get prepared for your next interview.
leetcode.com
class Solution {
public:
int kthSmallest(TreeNode* root, int& k)
{
if (root)
{
int x = kthSmallest(root->left, k);
return !k ? x : !--k ? root->val : kthSmallest(root->right, k);
}
else return NULL;
}
};
위 코드는 가독성이 떨어져 가독성이 좋은 코드를 찾아 해설해보았다.
class Solution {
public:
int kthSmallest(TreeNode* root, int k) {
return dfs(root, k);
}
int dfs(TreeNode* node, int& k) //int k 가 아니라 int& k 를 사용해 k값을 직접 변경한다.
{
if(!node) return NULL; //node가 없다면 null 리턴
int l = dfs(node->left,k); //BST 구조이므로 중위순회
if(k == 0) return l; //전달 받은 node->val 값 리턴, root로 다시 돌아올 때 k가 0인 상태가 된다.
else if(k == 1) //k가 1일 때의 값이 k번 째 값이므로
{
k--; //k를 0으로 만들고, 정답 리턴
return node->val;
}
else // k가 1보다 크면,
{
k--; //k를 1 줄이고 (탐색했다는 흔적)
int r = dfs(node->right,k); //오른쪽으로 중위순회를 이어나간다.
if(k==0) return r; //오른쪽 탐색결과 정답을 찾았으면 정답 값 리턴
else return NULL; //오른쪽이 빈노드거나 오른쪽을 탐색해도 못찾으면, null 리턴
}
}
};
Mistake
- tree도 하나의 dp 라고 생각하니 편하다.
- tree문제 풀 때, 최소단위의 트리를 가정해 생각해보면 수월하다.
New things learned
삼항연산자를 이중으로 사용했을 때 이해가 잘 안가 찾아보았다.
삼항연산자, 이중 삼항연산자
삼항연산자는 조건 ? true일 경우 실행 내용 : false일 경우 실행 내용 형태의 연산문이다.조건이 충족될 경우 :를 기준으로 앞의 내용이 실행되며, 충족되지 않을 경우 뒷부분의 내용이 실행된다.
velog.io
반응형
'Algorithm' 카테고리의 다른 글
| [Leetcode] 235. Lowest Common Ancestor of a Binary Search Tree (0) | 2021.09.19 |
|---|---|
| [Leetcode] 105. Construct Binary Tree from Preorder and Inorder Traversal (0) | 2021.09.17 |
| [Leetcode] 98. Validate Binary Search Tree (1) | 2021.09.14 |
| [Leetcode] 98. Validate Binary Search Tree (0) | 2021.09.14 |
| [Leetcode] 102. Binary Tree Level Order Traversal (0) | 2021.09.11 |
댓글()







